BackTracking 구조

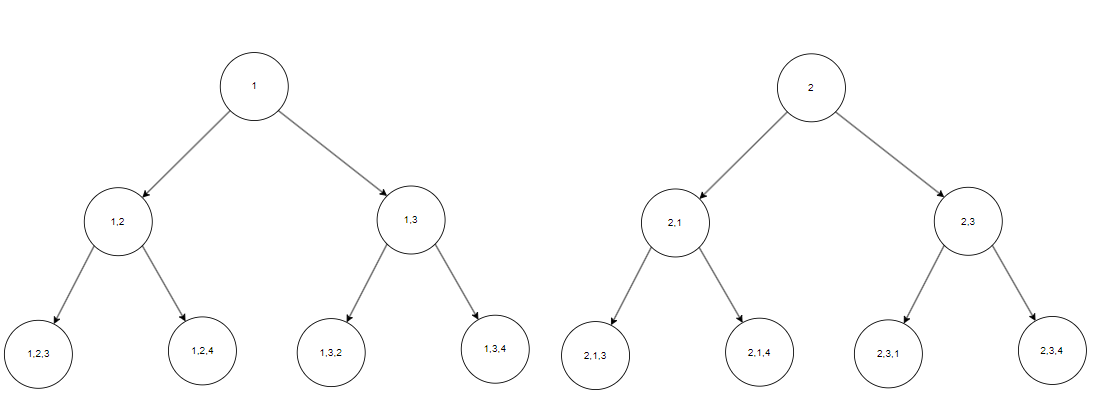
BackTracking(백트래킹) 알고리즘은 위 그림과 같이 모든 경우의 수를 탐색 할 수 있습니다. 기본적으로 나타낼 숫자의 범위 N과 수열의 길이 M을 입력 받으며 시간복잡도는 O(N*M) 입니다.
void backTracking(int dep) {
int i;
if (dep >= m) {
for (i = 0; i < m; i++)
printf("%d ", arrNum[i]);
printf("\n");
return;
}
for (i=0;i< n; i++) {
if (visi[i] == 0) {
visi[i] = 1;
arrNum[dep] = i+1;
backTracking(dep+1);
visi[i] = 0;
}
}
}
1. 매개변수 dep는 수열의 현재 길이를 의미하며 입력받은 M보다 클 경우 현재까지 담은 숫자들을 출력하고 함수를 종료합니다.
2. 반복문으로 i = 0부터 입력받은 N 값 만큼 순회합니다. 이미 방문했던 즉 배열에 담긴 숫자가 아닐때 visi 배열로 방문 체크하고 arrNum 배열에 i 값을 넣은 뒤 재귀함수로 backTracking 함수를 dep + 1 매개변수를 담아 실행합니다.
'알고리즘' 카테고리의 다른 글
| BitMask (0) | 2024.06.20 |
|---|---|
| Binary Search (0) | 2024.06.18 |
| Dynamic Programming (0) | 2024.06.17 |
| BFS, DFS (0) | 2024.06.14 |
| 다익스트라 (0) | 2024.06.13 |